Ingeniería y sus Alcances, Revista de Investigación https://doi.org/10.33996/revistaingenieria.v6i14.92

enero-abril 2022

Volumen 6 / No. 14

ISSN: 2664 8245

ISSN-L: 2664 - 8245

www.revistaingenieria.org

pp. 82 – 99

Desarrollo de programa computacional para la verificación de corte por punzonamiento en losas de hormigón armado

Development of punching shear verification software for reinforced concrete flat slabs

Desenvolvimento de um programa informático para a verificação do corte por perfuração em lajes de betão armado

 

 


Ricardo Dorado Saucedo

 rds_dorado@hotmail.com

 https://orcid.org/0000-0002-5906-4792


Bernardo Ugarte Lucuy

berugarte@gmail.com

 https://orcid.org/0000-0003-3127-105X


Universidad Católica Boliviana San Pablo, Santa Cruz-Bolivia

Artículo recibido el 29 de octubre 2021, / Aceptado el 30 de noviembres 2021 / Publicado el 15 de enero 2022

 


RESUMEN

El objetivo  del  estudio  fue  diseñar  un programa computacional que automatice la  verificación  de  corte  por punzonamiento en losas planas, tanto macizas como aligeradas, para columnas rectangulares, circulares, u otra geometría. Además, se propuso  un procedimiento para calcular esfuerzos de punzonamiento en columnas situadas en la posición de “esquina invertida”. El código fuente  fue desarrollado y compilado en el entorno de programación Visual Studio, utilizando el lenguaje de programación VisualBasic. Para el análisis de la columna en esquina invertida, procedimientos similares a los descritos por las normas internacionales de concreto reforzado vigentes fueron utilizados. Como resultado del proyecto se obtuvo el programa computacional en formato ejecutable para el entorno de Windows, acompañado de la formulación y descripción del procedimiento para realizar la verificación de  esfuerzos  por punzonamiento en la posición mencionada. El desarrollo de dicha formulación queda sujeto a un análisis más detallado, respaldado por modelos matemáticos y físicos.

 

Palabras clave: Punzonamiento; Corte en dos direcciones; Hormigón armado; Losa plana; Automatización; Ingeniería estructural


ABSTRACT

The objective of the current project was to develop a software to automate the punching (two-way) shear verification in flat slabs and waffle slabs, for rectangular columns, circular columns, and columns with other geometry. Furthermore, a procedure for calculating punching shear stresses in columns located in an “inverted corner” position is proposed. The source code of the software was developed and compiled using Visual Studio, and it was written in VisualBasic programming language. To  analyze  the inverted corner column  case, similar procedures to those  described in reinforced concrete international standards were followed. As a result of this project, a Windows-Environment executable software was developed, and the formulation and description of the procedure to check punching shear in the inverted corner column case was proposed. The development of such formulation must be verified through a more detailed analysis, and additional mathematical and physical models are needed for validation.

 

Key words:  Punching;  Two-way shear; Reinforced concrete; Flat slab; Automation; Structural engineering


RESUMO

O objectivo do estudo é conceber um programa informático para automatizar a verificação da cisalhadura de perfuração em lajes planas, tanto sólidas como  iluminadas,  para  colunas    rectangulares,     circulares ou comp colunas geométricas. Além disso, é proposto um procedimento para calcular as forças de corte por perfuração em colunas localizadas na posição de “canto invertido”. O código fonte foi compañado e compilado no ambiente de programação do Visual Studio, utilizando a linguagem de programação VisualBasic. Para a análise da coluna de canto invertido, foram utilizados procedimentos semelhantes aos descritos pelas compañ normas internacionais de betão armado. Como resultado do projecto, o programa de computador foi obtido em formato executável para o ambiente Windows, compañado pela formulação e descrição do procedimento para realizar a verificação das forças de corte de perfuração na posição acima referida. O desenvolvimento desta formulação está sujeito a uma análise mais detalhada, apoiada por modelos matemáticos e físicos.

 

Palavras-chave:                  Cisalhamento de  perfuração;  Cisalhamento bilateral; Betão armado; Laje plana; Automatização; Engenharia estrutural


 

 


INTRODUCIÓN

La ingeniería estructural tiende de forma natural hacia una creciente automatización. En este campo, como en muchos otros, se necesitan  programas   computacionales  para realizar tareas. A pesar de que existen programas que realizan la verificación de punzonamiento de forma global, hay una carencia de programas que realicen dicha verificación de forma específica, sin necesitar de un análisis estructural completo. Programas de análisis estructural usados a nivel global, tales como ETABS, CSI Safe, ADAPT-Builder, CYPECAD, y otros, realizan la  verificación de esfuerzos de corte por punzonamiento después de ejecutar un análisis estructural completo de la estructura. Mientras esto puede ser una ventaja, el análisis estructural de una estructura de gran envergadura puede requerir un tiempo excesivo. Para verificaciones locales como la de corte por punzonamiento resulta de gran provecho contar con una herramienta que permita verificar el estado límite a partir de fuerzas que pueden ser calculadas mediante software, o aproximadas con cálculos manuales, lo que finalmente permite al usuario comprobar distintos escenarios con menor inversión de tiempo.

La transferencia de cargas en conexiones

losa-columna es extremadamente crítica. En el diseño a flexión, si no se diseñan las áreas y posiciones exactas del refuerzo de forma correcta para toda la losa, la redistribución inelástica de los momentos podría permitir que el sistema siga comportándose adecuadamente,  pero   si   el   diseño   de   la resistencia a esfuerzos de corte por punzonamiento es incorrecto, los resultados pueden ser catastróficos (McCormac y Brown, 2011).


En Bolivia, como en muchas otras partes del mundo, se depende del uso de programas computacionales desarrollados en el exterior para ejercer la ingeniería estructural. En general, el acceso a estos programas está limitado por su elevado costo. Además, existe carencia de programas que automaticen la verificación  de  corte  por  punzonamiento  de forma específica. Todo esto impulsó el desarrollo de un programa computacional de libre acceso, que aporte al diseño confiable de estructuras locales. El objetivo de la investigación fue desarrollar un programa ejecutable en el entorno de Windows, que permita a los usuarios verificar la solicitación de corte por punzonamiento en losas planas de hormigón armado tanto macizas como aligeradas, para columnas rectangulares, circulares, u otra geometría.

 

MÉTODO

La investigación fue desarrollada bajo el paradigma positivista, con alcance aplicado. Se desarrolla un programa en el cual se utiliza formulación ampliamente establecida en códigos internacionales y nacionales de concreto reforzado, para la verificación de esfuerzos de corte por punzonamiento  en  las posiciones de columna tradicionales. Además, se propusieron los procedimientos  y formulación para la verificación de dichos esfuerzos en una posición de columna actualmente no contemplada en códigos de diseño estructural.

Para cumplir con los objetivos mencionados, se siguió el procedimiento mencionado a continuación: [1] Se estudiaron las bases teóricas del fenómeno de  corte  por punzonamiento en losas planas; [2] Se analizó y desarrolló la formulación para el caso especial no contemplado en normativas vigentes (columna de esquina  invertida),  y se implementó dicho caso en el programa desarrollado; [3] Se desarrolló el software de verificación de esfuerzos de punzonamiento y diseño de refuerzos en una conexión losa- columna específica; [4] Se realizaron las pruebas de software necesarias para constatar el buen funcionamiento del programa.

Los fundamentos teóricos y la formulación utilizada para la verificación de corte por punzonamiento en posiciones de columnas tradicionales  cumplen  estrictamente  con  los requerimientos la Norma Boliviana de hormigón estructural NB1225001, CTN

12.25 Construcción de estructuras (IBNORCA, 2012ª; IBNORCA, 2012b). Estos requerimientos están alineados con los de la norma ACI 318-14 (ACI Committee 318, 2014), la cual presenta formulación establecida en base a la investigación más reciente respecto a corte por punzonamiento en losas de hormigón armado en el momento de elaboración de este proyecto.

Las fórmulas pertenecientes al caso columna de esquina invertida, fueron deducidas en este documento a partir de conceptos presentados por MacGregor J.G. y Wight J.K. (2012).

El programa se desarrolló en el lenguaje de programación VisualBasic, compatible con el entorno de Visual Studio. Diversas actividades de pruebas fueron llevadas a cabo, orientadas a determinar el correcto funcionamiento del programa, así como la adecuada interacción con el usuario. Finalmente, pruebas beta, y las modificaciones correspondientes fueron realizadas antes de la implementación del programa.

 

RESULTADOS Y DISCUSIÓN

Las losas planas, sean llenas o aligeradas, responden a un modo de falla principal denominado corte por punzonamiento, fenómeno que se desarrolla en las conexiones losa-columna. El corte por punzonamiento  en losas planas debe ser verificado en una sección crítica que depende de la ubicación de la columna. Los reglamentos actuales consideran cuatro casos de ubicación de columna presentados en la Figura 1.


 

 

 

Figura 1. Posiciones características de columna.


 


La resistencia de estas conexiones depende principalmente de: perímetro crítico (bo) y altura de losa (h).

Después de obtener la resistencia de la losa, se realiza la verificación de demanda expresada en la ecuación 1.

 

Vc>Vu (1)

 

Donde:

 

Vc: Resistencia del hormigón frente a esfuerzos de corte por punzonamiento (kg/cm²)

Vu: Esfuerzo máximo de corte (kg/cm²)

 

La determinación de ambos valores está descrita en el capítulo 8 y 22 de la norma ACI-318 (ACI Committee 318, 2014), y en el capítulo 11 de la NB1225001, CTN N° 12.25 – Construcción de estructuras (IBNORCA, 2012b).

En esta investigación se aborda la verificación de corte por punzonamiento como un proceso que incluye, por un lado,   la obtención y comparación de esfuerzos de solicitación y resistencia de la losa (ecuación 1), y por otro lado, la provisión de alternativas para aumentar la resistencia a dichos esfuerzos en caso de que el peralte original de la losa no los soporte.

El proceso anteriormente descrito contempla:

          La verificación de corte por punzonamiento en losas planas de hormigón armado, apoyadas sobre columnas rectangulares y circulares (centrales, de esquina, y laterales), a partir de momentos y cortantes dados.

          La verificación de corte por punzonamiento en losas planas de hormigón armado, apoyadas sobre columnas rectangulares y circulares (centrales, de esquina, y laterales), cuando existen agujeros cercanos a la sección crítica estudiada, ubicados en direcciones ortogonales a la columna, a partir de momentos y cortantes dados.

          El diseño de ábacos, capiteles, o refuerzo con estribos, para las secciones que no cumplan los requisitos de resistencia. El diseño de ábacos consiste en el diseño del espesor de concreto necesario para resistir esfuerzos de corte por punzonamiento.

 

El  diseño  de  capiteles  consiste  en  la determinación de la inclinación necesaria de sus caras para resistir los esfuerzos de corte por   punzonamiento   en   la   sección   crítica correspondiente,  previa  delimitación  de  la altura  permisible  del  capitel.  Por  último,  el diseño  de  refuerzo  con  estribos  consiste  en la determinación de la separación necesaria de estribos de un diámetro establecido por el usuario, que permita resistir los esfuerzos de corte  por  punzonamiento.  En  los  tres  casos anteriores, el diseño es realizado cumpliendo con  los  requisitos  técnicos  y  geométricos exigidos por la norma boliviana de hormigón estructural   NB   1225001,   CTN   N°   12.25    Construcción    de    estructuras    (IBNORCA, 2012b).


 


Esfuerzos de punzonamiento

Los esfuerzos de corte por punzonamiento ( ) desarrollados en estas conexiones, se deben no solo a la transferencia de fuerzas cortantes de la losa a la columna a través de          un área alrededor de esta, sino que también se deben a la transferencia de momentos de desequilibrio en la sección critica, véase la Figura 2.


 

 

 

Figura 2. Momento de desequilibrio en el centroide de la columna.

Fuente: Gonzáles y Arellano (2010), Reporte anual de investigación UAM.

 


Al igual que la geometría de la sección critica, la magnitud de los momentos transferidos entre losa-columna depende principalmente de la ubicación de la columna.

Dichos momentos generan esfuerzos variables en la sección critica. La Figura 3 presenta dichos esfuerzos variables de forma esquemática.


 

 

 

Figura 3. Esfuerzos combinados de momento y corte.

Fuente: Gonzáles (2005). Aspectos fundamentales del concreto reforzado.


 


En las figuras 4, 5, 6, y 7, se distinguen los cuatro casos principales de ubicación de columnas, y se introduce la nomenclatura posteriormente utilizada en el desarrollo de  la formulación en este documento.


 

 

 

Figura 4. Losa sobre columna interior.

Fuente: Gonzáles (2005). Aspectos fundamentales del concreto reforzado.

 

Figura 5. Losa sobre columna de borde con momento perpendicular al borde.

Fuente: Gonzáles (2005). Aspectos fundamentales del concreto reforzado.

 

 

 

Figura 6. Losa sobre columna de borde con momento paralelo al borde.

Fuente: Gonzáles (2005). Aspectos fundamentales del concreto reforzado.


 

 

Figura 7. Losa sobre columna de esquina.

Fuente: Gonzáles (2005). Aspectos fundamentales del concreto reforzado.

 

 


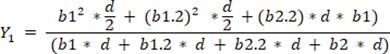
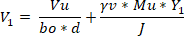
La    expresión    que    se    presenta    a continuación  (ecuación  2)  para  determinar los esfuerzos máximos de punzonamiento fue deducida asumiendo que la transferencia de momentos se presenta en una sola dirección principal a la vez (MacGregor y Wight, 2012). MacGregor y Wight (2012) apuntan que, para el cálculo de edificios típicos, es común que el ingeniero estructural aproxime los esfuerzos calculándolos   de   esta   manera,   pero   que esta  verificación  se  debe  hacer  en  las  dos direcciones ortogonales principales y usando los  casos  de  carga  que  generen  mayores esfuerzos en cada conexión.

Por  lo  tanto,  los  esfuerzos  máximos  de corte   por   punzonamiento   se   determinan según la ecuación 2:


Y1: Distancia desde el eje baricéntrico de la sección crítica al borde más esforzado (cm)

Vu: Fuerza cortante mayorada (calculada en el eje baricéntrico de la sección crítica) (kg)

Mu: Momento de desequilibrio mayorado (calculado en el eje baricéntrico de la sección crítica) (kg-cm)

bo: Perímetro de la sección crítica (cm)

J:    Parámetro análogo al momento polar    de inercia (cm4)

γv: Fracción del momento transmitido por corte (adimensional)

 

                     (2ª)


 


 

 

 

Donde:


(2)


La distribución de los esfuerzos calculados con la ecuación 2 e ilustrados en las Figuras 3 a 7, asumen que Vu actúa sobre el centroide de la sección crítica, y que Mu actúa alrededor


V1:     Esfuerzo de corte por punzonamiento

(kg/cm²)


del eje baricéntrico de la misma. Cuando se utilizan softwares de análisis estructural tales como el usado en este trabajo para las pruebas de software (ETABS), los valores de Vuy “Mu” pueden ser calculados tanto en nudos ubicados en el centroide de la columna como en el borde de esta, pero no tan fácilmente en el centroide de la sección crítica, como requiere la formula.


Después de determinar la distancia Y1 al eje baricéntrico de la sección crítica, se puede determinar las fuerzas Vu y Mu que actúan en el centroide de la sección crítica realizando el  equilibrio  de  fuerzas  en  un  diagrama  de cuerpo  libre.  En  la  Figura  8  se  ilustra  dicha situación.


 

 

 

Figura 8. Momentos en el eje baricéntrico de una columna interior.

Fuente: MacGregor y Wight (2012).

 

 


Donde:

Vu,c: Fuerza cortante actuante en centroide la columna (kg)

Mu,c: Momento actuante en centroide la columna (véase también la Figura 2) (kg-cm)

Vu: Reacción en el eje baricéntrico de la sección crítica (kg)

Mu: Reacción en el eje baricéntrico de la sección crítica (kg-cm)

 

De esta manera se advierte que cuando las reacciones que equilibran el diagrama de


cuerpo libre no están situadas en el centroide del perímetro crítico, estas no son iguales a las fuerzas actuantes. También es importante aclarar que el momento actuante “Mu,c” de la Figura 8 debe ser introducido en la ecuación de Mu con su respectivo signo.

El programa computacional desarrollado asume que la carga axial y el momento de desequilibrio introducidos fueron calculados en un nudo ubicado en el centroide de la columna. Este momento puede determinarse fácilmente sumando los momentos de la columna inferior y superior en el nudo, como se ilustra en la Figura 9.


 

 

 

 

Figura 9. Momentos en conexión losa-columna

 

 

 


Caso Especial

La formulación y el procedimiento necesario para verificar esfuerzos de  punzonamiento es conocido y ha sido documentado por distintos autores. MacGregor y Wight (2012), presentan la formulación necesaria para verificar esfuerzos en los casos característicos mencionados anteriormente, formulación que es  utilizada  en  la  ecuación  2.  Sin  embargo, es  común  encontrarse  con  la  situación  de columna de esquina invertida que se ilustra en la Figura 10, cuya formulación y procedimiento de  análisis  no  han  sido  establecidos  en  las normas de diseño estructural actuales.


 

 

 

 

 

 

 

 

Figura 10. Columna de esquina invertida.


 


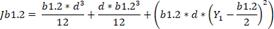
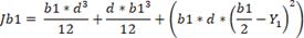
Al establecer la  formulación  para  el caso especial (Figura 10), el parámetro “J” (Véase la ecuación 2) es de particular interés. Este parámetro representa una propiedad similar al momento  polar  de  inercia,  que  ha sido definido por distintos autores para cada posición característica de  columna.  Sin embargo, los reglamentos actuales no presentan una ecuación específica para casos como el de columna de  esquina  invertida. La formulación para el cálculo de dicho parámetro ha sido desarrollada en este proyecto con base en principios de mecánica de materiales, y los conceptos discutidos por MacGregor y Wight (2012). Dichos conceptos, al igual que la formulación propuesta, son presentados a continuación.


Momento polar de inercia “J”

El  término  “J”  está  definido  como  una propiedad  análoga  al  momento  polar  de inercia del perímetro crítico de la conexión. Este  término  toma  en  cuenta  los  esfuerzos de corte y torsión en las caras del perímetro crítico.  Para  el  cálculo  de  “J”,  se  divide  el perímetro  según  la  cantidad  de  lados  que tenga: cuatro lados si es central, tres lados si es de borde, dos lados si es de esquina, etc. En las Figuras 11, 12 y 13 se ilustran estas tres situaciones. El término “J” entonces es la suma de los momentos polares de inercia calculados para cada uno de los lados individualmente.


 

 

 

 

Figura 11. Columna de esquina invertida.


 

 

 

 

 

Figura 12. Perímetro crítico de una columna de borde.

Fuente: MacGregor y Wight (2012).

 

 

 

 

 

Figura 13. Perímetro crítico de una columna de esquina.

Fuente: MacGregor y Wight (2012.)

 

 


Momento polar de inercia “J” para un lado individual del perímetro crítico

Los libros de estática y mecánica de materiales establecen fórmulas para el cálculo de momentos polares de inercia. Sin embargo, en la mayoría de los casos se discute el cálculo de estos solo en dos dimensiones. El cálculo se vuelve más complicado cuando se trata de perímetros críticos en tres dimensiones, como se grafica en la Figura 14.


 

 

Figura 14. Lado individual del perímetro crítico de una columna perpendicular al eje.

Fuente: MacGregor y Wight (2012).

 

 

 


El rectángulo de la Figura 14 representa el lado AD del perímetro crítico de la columna de borde de la Figura 12. El momento polar de inercia de este rectángulo alrededor del eje z-z, que es perpendicular al plano del rectángulo y está desplazado una distancia del centro de gravedad de dicho rectángulo, está dado por las ecuaciones 3.1 y 3.2:


(3.2)

 

 

Para el rectángulo del lado AB de la Figura 11, el momento polar de inercia alrededor del eje x-x, que es paralelo al plano del rectángulo, está dado por:

 

 

(3.4)


(3.1)

 

 

 

(3.2)

 

Es importante mencionar de la anterior ecuación, que para los lados perpendiculares al eje que se está tomando en cuenta, se debe aplicar con todos sus miembros, es decir:  . Sin embargo, para lados paralelos al eje que considera, se debe calcular el momento polar de inercia con la siguiente ecuación:


Como se mencionó anteriormente, el momento polar de inercia “J”, es la suma de los momentos polares de inercia calculados para cada uno de los lados individualmente. Es en base a estos conceptos y formulación que en este documento se dedujeron las fórmulas presentadas a continuación.

Propiedad análoga al momento polar de inercia para columna de esquina invertida:

 

(4)


 


Donde:

 

 

 

 

 



 

 

 

 

(4.1)

 

 

(4.2)


Las variables presentadas en esta formulación se encuentran definidas en la Figura 10. Además, la sección critica propuesta, que corresponde a esta formulación, puede verse en la Figura 15.


 

 

(4.3)

 

               (4.4)

 

Figura 15. Sección crítica propuesta de una columna de esquina invertida.

 

En base a lo propuesto anteriormente, la distancia desde el eje baricéntrico de la sección crítica hasta el borde más esforzado puede calcularse con la ecuación 5.

 

 

 

(5)

 

 


Refuerzo de la conexión

Cuando no se satisface la condición de resistencia, el programa permite mejorar la resistencia de la conexión con los siguientes refuerzos:


Ábaco

El programa realiza el diseño incrementando progresivamente el espesor del ábaco hasta que los esfuerzos sean menores que la resistencia de la sección.


 


Asimismo, en caso de elegirse este tipo de refuerzo, o en el caso de losas aligeradas, los esfuerzos de punzonamiento en el borde del ábaco son verificados. De no cumplirse  la condición de resistencia en esta segunda sección, el programa ofrece al usuario dos alternativas para mejorar su capacidad resistente: aumentar el espesor de la losa o aumentar las dimensiones en planta del ábaco, ambos procesos realizados automáticamente hasta encontrar la solución óptima.

En  el  caso  de  la  verificacion  de   corte por punzonamiento alrededor del abaco, se considera una sección crítica ubicada a una distancia d/2 del borde del ábaco como se muestra en la Figura 16. Algunas normas y libros consideran innecesaria la verificación de esfuerzos en la sección  ubicada  a  d/2 del borde del ábaco porque suele  cumplir con cierta holgura los esfuerzos admisibles. Sin embargo, se ha considerado importante realizar dicha verificación teniendo en cuenta que en losas aligeradas, la sección que toma estos esfuerzos se reduce considerablemente.


 

 

 

Figura 16. Secciones críticas en una losa con ábaco.

Fuente: MacGregor y Wight (2012).

 


A pesar de que  las  losas  aligeradas  son ampliamente usadas, se ha realizado poca investigación para entender su comportamiento frente al fenómeno de punzonamiento. Como resultado, el proceso de verificación de punzonamiento en losas aligeradas no se incluye en códigos de diseño actuales (Al-Bayati et al., 2018).


En este programa, para computar los esfuerzos de punzonamiento en bordes de ábacos de losas aligeradas, se asume un peralte equivalente calculado con la siguiente ecuación:

 

 

(6)


 


Donde:

d (aligerada): peralte efectivo equivalente de losa aligerada (cm)

d: peralte efectivo de losa (cm)

ancho de nervio: ancho de la nervadura de la losa aligerada (cm)

separación entre nervios: separación entre ejes de nervaduras de la losa aligerada (cm)

 

El peralte equivalente se utiliza para calcular el área de corte que resiste los esfuerzos de punzonamiento, asi como el momento polar de inercia de la sección.


Este método fue introducido y adoptado por la  PCA  (Portland  Cement  Asocciation) y su grupo de software de ingeniería (StructurePoint, 2013) décadas atrás, y es un método ampliamente usado por ingenieros para la verificación de punzonamiento en losas aligeradas. El método genera un cálculo de esfuerzos simplificado, que de forma conservadora no toma en cuenta el área de hormigón entre nervios. Esta simplificación reduce la resistencia de la sección notoriamente, por lo que se sugiere realizar cálculos manuales para cargas especiales.


 

Figura 17. Conexión reforzada con ábaco.

 


Capitel

De forma similar al anterior refuerzo, el refuerzo con capiteles se realiza aumentando el ángulo α mostrado en la Figura 18, y por lo tanto el perímetro crítico, hasta que este sea capaz de resistir los esfuerzos inducidos. En este caso, la altura “h” permisible del capitel deberá ser introducida por el usuario.


 

 

Figura 18. Conexión reforzada con capitel.


 


Estribos

Consiste en el cálculo de la separación de estribos necesaria para resistir los esfuerzos adicionales de punzonamiento. Dichos estribos se extenderán una longitud “L” mostrada en la Figura 5, que varía en función de los parámetros de la losa y ubicación de la columna.


 

 

 

 

Figura 19. Conexión reforzada con estribos verticales.

 

 


 

Programa computacional

El programa es compatible con el entorno de Windows, y puede ser ejecutado en su sistema operativo Windows 7 o superior. Para comprobar el buen funcionamiento del programa, se realizaron 26 pruebas teóricas que fueron comparadas con los resultados del programa desarrollado, todas ellas arrojaron resultados aproximados. Del mismo modo, se realizaron comparaciones con el programa de análisis y diseño estructural “ETABS”, obteniendo resultados satisfactorios.


Discusión

La determinación de los esfuerzos por punzonamiento es ciertamente un tema controversial. La generalización de las fórmulas empíricas, tales como las de corte por punzonamiento, es una práctica que debe tomarse con cautela. Como indica Aalami (2014), la aplicación segura de las fórmulas empíricas de corte por punzonamiento depende estrictamente en la configuración del soporte (columna), para los cuales resultados de ensayos han validado los modelos empíricos.


 


Mientras que la distribución de esfuerzos adoptada en este documento para el caso de columna de esquina invertida establece una situación de equilibrio estático adecuada, el fenómeno de punzonamiento posee ductilidad limitada para una posible redistribución de esfuerzos. Dicha limitación impide alcanzar el estado de equilibrio estático en caso de que una parte de la sección alcance esfuerzos por encima de los límites aceptables. Por lo mencionado anteriormente, ensayos físicos deben ser llevados a cabo para la situación particular propuesta, de modo que la formulación aquí presentada sea validada. Además, modelos matemáticos detallados pueden brindar resultados de mucho valor para esta validación.

Adicionalmente, es importante estudiar  la necesidad de refuerzo a flexión para desarrollar mecanismos adecuados de falla, actualmente la norma boliviana de hormigón estructural y la ACI-318 no requieren acero   a flexión para desarrollar la capacidad a punzonamiento, razonamiento que discrepa de otros reglamentos a nivel internacional, como el Código Europeo para el diseño de estructuras de hormigón armado (Aalami, 2014).

Por otro lado, el fenómeno de punzonamiento ha sido poco estudiado en losas casetonadas (Al-Bayati et  al.,  2018), el procedimiento aquí presentado para el cálculo de esfuerzos de punzonamiento en losas casetonadas, es una simplificación que requiere de estudio adicional.


CONCLUSIONES

En la etapa de diseño estructural, la optimización de tiempo invertido se traduce en beneficio económico para el ingeniero proyectista, en consecuencia, desarrollar un programa que ayude a verificar solicitaciones y encontrar soluciones (en caso de resultados negativos) de manera sencilla, representa no solo un ahorro de tiempo, sino también un beneficio económico para cualquier usuario.

En este artículo se desarrolló un programa que brinda al usuario la capacidad de verificar y diseñar las conexiones losa-columna de una estructura de hormigón armado, a partir de cargas obtenidas en un análisis estructural,   o realizar un diseño preliminar en base a cálculos aproximados de cargas tributarias en columnas. Además, es un software de libre acceso.

Como  parte  del  desarrollo  del  software, y  después  de  identificar  dificultades  a  la hora de realizar la verificación de corte por punzonamiento   en   ciertas   posiciones   de columnas,   se   estableció   el   procedimiento y  formulación  para  verificar  esfuerzos  de punzonamiento en la posición de columna de esquina invertida. Además, verificaciones poco comunes  como  el  corte  por  punzonamiento alrededor  de  ábacos,  en  losas  macizas  y casetonadas,    son    aproximadas    mediante formulación     aceptada     por     ingenieros estructurales en la práctica común.

La versatilidad del programa desarrollado permite al usuario estudiar diferentes escenarios, sin tener que llevar a cabo un análisis   estructural   completo.   Además,   la iteración automática para encontrar soluciones óptimas de refuerzo de las conexiones representa una ventaja frente a otros programas en el mercado.

 

REFERENCIAS

Aalami, B. O. (2014). Post-Tensioned Buildings: Design and Construction. PT-Structures. com

ACI Committee 318. (2014). Building code requirements for structural concrete (ACI 318-14) and commentary (ACI 318R-14). Farmington Hills, MI.: American Concrete Institute

Al-Bayati, F., Teck Leong, L., y A.Clark, L. (2018). Eccentric Punching Shear of Waffle Slab. ACI STRUCTURAL JOURNAL, 115(1), 163-173

Gonzáles, C. O. (2005). Aspectos fundamentales del concreto reforzado (4 ed.). México, D.F.: Limusa

Gonzáles C, O. y Arellano M. E. (2010). Reporte anual de investigación UAM. México, D.F.: UAM

IBNORCA (2012a). CTN 12.25 - Construcción de estructuras. (2012). Norma Boliviana NB1225001-1:2012 "Hormigón Estructural - Parte 1: Especificaciones". Santa Cruz

IBNORCA (2012b). CTN 12.25 - Construcción de estructuras. (2012). Norma Boliviana NB1225001-2:2012 "Hormigón Estructural - Parte 2: Comentarios". Santa Cruz

MacGregor, J. G., y Wight, J. K. (2012). Reinforced concrete mechanics and design (6 ed.). New jersey: Pearson

McCormac, J., y Brown, R. (2011). Diseño de concreto reforzado (8 ed.). México, D.F.: Alfaomega

StructurePoint. (2013). SP Slab Manual. Illinois: StructurePoint LLC